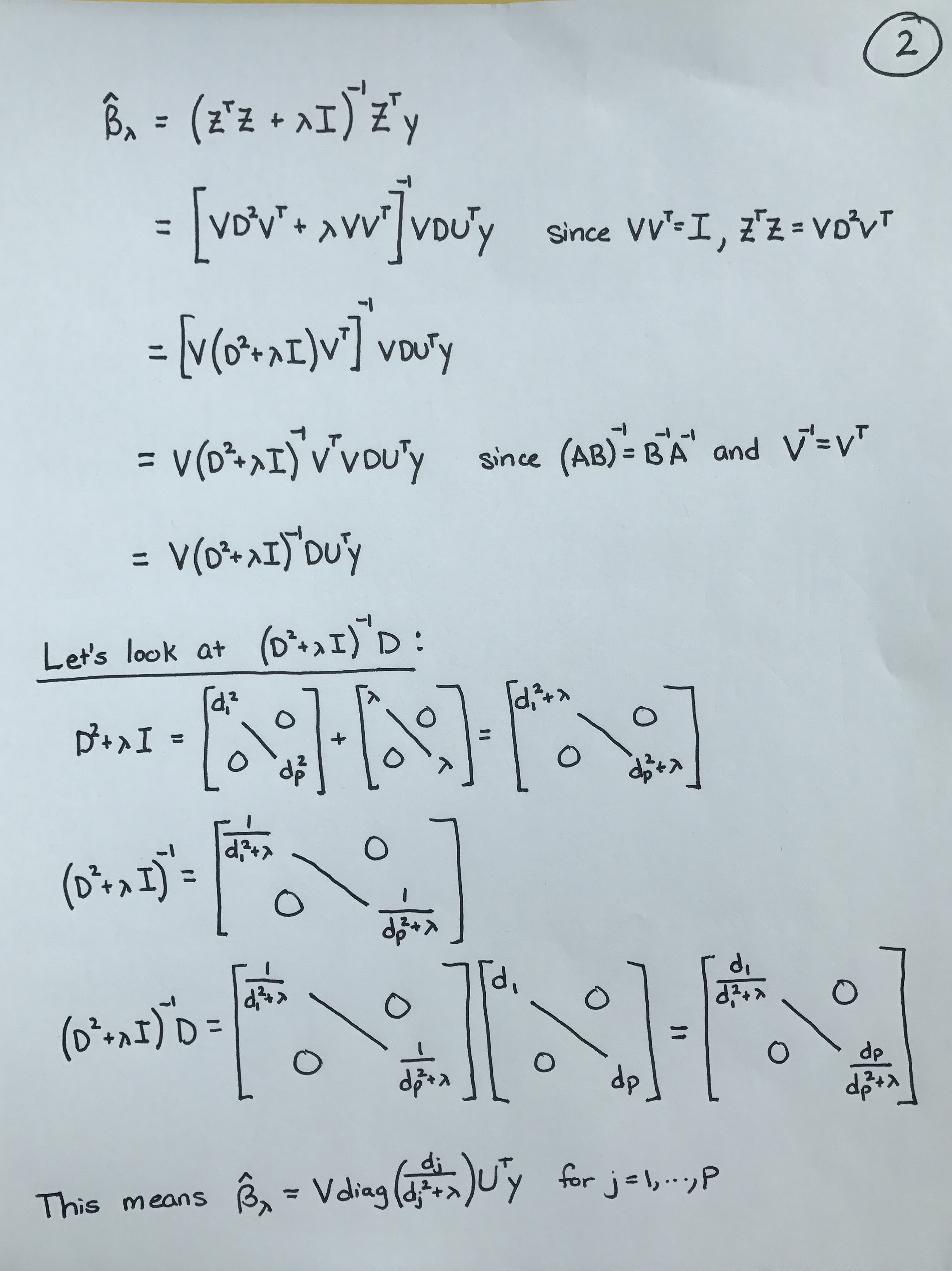
IMG_6698 Published September 18, 2017 at 2705 × 3610 in Deep Dive on Regularized Adjusted Plus-Minus I: Introductory Example ← Previous Next →